SMALL

baekjoon 8

[BAEKJOON] 14502 연구소

백준 114502 연구소 풀이 정리 14502 연구소 문제 인체에 치명적인 바이러스를 연구하던 연구소에서 바이러스가 유출되었다. 다행히 바이러스는 아직 퍼지지 않았고, 바이러스의 확산을 막기 위해서 연구소에 벽을 세우려고 한다. 연구소는 크기가 N×M인 직사각형으로 나타낼 수 있으며, 직사각형은 1×1 크기의 정사각형으로 나누어져 있다. 연구소는 빈 칸, 벽으로 이루어져 있으며, 벽은 칸 하나를 가득 차지한다. 일부 칸은 바이러스가 존재하며, 이 바이러스는 상하좌우로 인접한 빈 칸으로 모두 퍼져나갈 수 있다. 새로 세울 수 있는 벽의 개수는 3개이며, 꼭 3개를 세워야 한다. 예를 들어, 아래와 같이 연구소가 생긴 경우를 살펴보자. 2 0 0 0 1 1 0 0 0 1 0 1 2 0 0 1 1 0 1 0 ..

Algorithm 2023.07.28

[BAEKJOON] 2667 단지번호붙이기

백준 2667 단지번호붙이기 풀이 정리 2667 단지번호붙이기 문제 과 같이 정사각형 모양의 지도가 있다. 1은 집이 있는 곳을, 0은 집이 없는 곳을 나타낸다. 철수는 이 지도를 가지고 연결된 집의 모임인 단지를 정의하고, 단지에 번호를 붙이려 한다. 여기서 연결되었다는 것은 어떤 집이 좌우, 혹은 아래위로 다른 집이 있는 경우를 말한다. 대각선상에 집이 있는 경우는 연결된 것이 아니다. 는 을 단지별로 번호를 붙인 것이다. 지도를 입력하여 단지수를 출력하고, 각 단지에 속하는 집의 수를 오름차순으로 정렬하여 출력하는 프로그램을 작성하시오. 첫 번째 줄에는 지도의 크기 N(정사각형이므로 가로와 세로의 크기는 같으며 5≤N≤25)이 입력되고, 그 다음 N줄에는 각각 N개의 자료(0혹은 1)가 입력된다. ..

Algorithm 2023.07.27

[BAEKJOON] 1260 DFS와 BFS

백준 1260 DFS와 BFS 풀이 정리 1260 DFS와 BFS 문제 그래프를 DFS로 탐색한 결과와 BFS로 탐색한 결과를 출력하는 프로그램을 작성하시오. 단, 방문할 수 있는 정점이 여러 개인 경우에는 정점 번호가 작은 것을 먼저 방문하고, 더 이상 방문할 수 있는 점이 없는 경우 종료한다. 정점 번호는 1번부터 N번까지이다. 첫째 줄에 정점의 개수 N(1 ≤ N ≤ 1,000), 간선의 개수 M(1 ≤ M ≤ 10,000), 탐색을 시작할 정점의 번호 V가 주어진다. 다음 M개의 줄에는 간선이 연결하는 두 정점의 번호가 주어진다. 어떤 두 정점 사이에 여러 개의 간선이 있을 수 있다. 입력으로 주어지는 간선은 양방향이다. 입력 4 5 1 1 2 1 3 1 4 2 4 3 4 첫째 줄에 DFS를 수행..

Algorithm 2023.07.26

[BAEKJOON] 2606 바이러스

백준 2606 바이러스 풀이 정리 2606 바이러스 문제 신종 바이러스인 웜 바이러스는 네트워크를 통해 전파된다. 한 컴퓨터가 웜 바이러스에 걸리면 그 컴퓨터와 네트워크 상에서 연결되어 있는 모든 컴퓨터는 웜 바이러스에 걸리게 된다. 예를 들어 7대의 컴퓨터가 과 같이 네트워크 상에서 연결되어 있다고 하자. 1번 컴퓨터가 웜 바이러스에 걸리면 웜 바이러스는 2번과 5번 컴퓨터를 거쳐 3번과 6번 컴퓨터까지 전파되어 2, 3, 5, 6 네 대의 컴퓨터는 웜 바이러스에 걸리게 된다. 하지만 4번과 7번 컴퓨터는 1번 컴퓨터와 네트워크상에서 연결되어 있지 않기 때문에 영향을 받지 않는다. 어느 날 1번 컴퓨터가 웜 바이러스에 걸렸다. 컴퓨터의 수와 네트워크 상에서 서로 연결되어 있는 정보가 주어질 때, 1번 ..

Algorithm 2023.07.18

[BAEKJOON] 13913 숨바꼭질 4

백준13913 숨바꼭질 4 풀이 정리 13913 숨바꼭질 4 문제 수빈이는 동생과 숨바꼭질을 하고 있다. 수빈이는 현재 점 N(0 ≤ N ≤ 100,000)에 있고, 동생은 점 K(0 ≤ K ≤ 100,000)에 있다. 수빈이는 걷거나 순간이동을 할 수 있다. 만약, 수빈이의 위치가 X일 때 걷는다면 1초 후에 X-1 또는 X+1로 이동하게 된다. 순간이동을 하는 경우에는 1초 후에 2*X의 위치로 이동하게 된다. 수빈이와 동생의 위치가 주어졌을 때, 수빈이가 동생을 찾을 수 있는 가장 빠른 시간이 몇 초 후인지 구하는 프로그램을 작성하시오. 첫 번째 줄에 수빈이가 있는 위치 N과 동생이 있는 위치 K가 주어진다. N과 K는 정수이다. 입력 5 17 첫째 줄에 수빈이가 동생을 찾는 가장 빠른 시간을 출력..

Algorithm 2023.07.17

[BAEKJOON] 1697 숨바꼭질

백준 1697 숨바꼭질 풀이 정리 1697 숨바꼭질 문제 수빈이는 동생과 숨바꼭질을 하고 있다. 수빈이는 현재 점 N(0 ≤ N ≤ 100,000)에 있고, 동생은 점 K(0 ≤ K ≤ 100,000)에 있다. 수빈이는 걷거나 순간이동을 할 수 있다. 만약, 수빈이의 위치가 X일 때 걷는다면 1초 후에 X-1 또는 X+1로 이동하게 된다. 순간이동을 하는 경우에는 1초 후에 2*X의 위치로 이동하게 된다. 수빈이와 동생의 위치가 주어졌을 때, 수빈이가 동생을 찾을 수 있는 가장 빠른 시간이 몇 초 후인지 구하는 프로그램을 작성하시오. 첫 번째 줄에 수빈이가 있는 위치 N과 동생이 있는 위치 K가 주어진다. N과 K는 정수이다. 입력 5 17 수빈이가 동생을 찾는 가장 빠른 시간을 출력한다. 4 풀이 수빈..

Algorithm 2023.07.17

[BAEKJOON] 18405 경쟁적 전염

백준 18405 경쟁적 전염 문제 풀이 정리 18405 경쟁적 전염 문제 NxN 크기의 시험관이 있다. 시험관은 1x1 크기의 칸으로 나누어지며, 특정한 위치에는 바이러스가 존재할 수 있다. 모든 바이러스는 1번부터 K번까지의 바이러스 종류 중 하나에 속한다. 시험관에 존재하는 모든 바이러스는 1초마다 상, 하, 좌, 우의 방향으로 증식해 나간다. 단, 매 초마다 번호가 낮은 종류의 바이러스부터 먼저 증식한다. 또한 증식 과정에서 특정한 칸에 이미 어떠한 바이러스가 존재한다면, 그 곳에는 다른 바이러스가 들어갈 수 없다. 시험관의 크기와 바이러스의 위치 정보가 주어졌을 때, S초가 지난 후에 (X,Y)에 존재하는 바이러스의 종류를 출력하는 프로그램을 작성하시오. 만약 S초가 지난 후에 해당 위치에 바이러..

Algorithm 2023.07.09

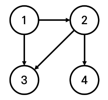
[BAEKJOON] 18352 특정 거리의 도시 찾기

백준 18352 특정 거리의 도시 찾기 문제 풀이 정리 18352 특정 거리의 도시 찾기 문제 어떤 나라에는 1번부터 N번까지의 도시와 M개의 단방향 도로가 존재한다. 모든 도로의 거리는 1이다. 이 때 특정한 도시 X로부터 출발하여 도달할 수 있는 모든 도시 중에서, 최단 거리가 정확히 K인 모든 도시들의 번호를 출력하는 프로그램을 작성하시오. 또한 출발 도시 X에서 출발 도시 X로 가는 최단 거리는 항상 0이라고 가정한다. 예를 들어 N=4, K=2, X=1일 때 다음과 같이 그래프가 구성되어 있다고 가정하자. 이 때 1번 도시에서 출발하여 도달할 수 있는 도시 중에서, 최단 거리가 2인 도시는 4번 도시 뿐이다. 2번과 3번 도시의 경우, 최단 거리가 1이기 때문에 출력하지 않는다. 첫째 줄에 도시..

Algorithm 2023.07.05
LIST